Everything You Need to Know About Survey Sampling in Research and Business

Let’s say you wanted to understand public opinion across Europe. Reaching every single person in dozens of countries, speaking different languages, living in different time zones, and processing millions of responses would be nearly impossible, not to mention wildly expensive and time-consuming. That’s where survey sampling changes the game.
Survey sampling means gathering insights from a smaller group that accurately reflects the larger population. Instead of talking to millions, you select a group that mirrors the diversity, opinions, and behaviors of the whole.
TL;DR
Survey sampling is the backbone of modern research. Instead of surveying everyone, researchers study a smaller, representative group to save time, cost, and effort while still getting accurate results. In this guide, we break down the main sampling methods, common errors and how to avoid them, real-world applications, pros and cons, formulas for calculating sample size, and future trends like AI-driven sampling.
What Is Survey Sampling?
Survey sampling is the process of choosing a smaller group of people from a larger population to take part in your survey. Instead of asking everyone (which is usually impossible), you collect feedback from a carefully selected portion that reflects the bigger group.
The goal of survey sampling is representation. A well-chosen sample mirrors the characteristics of the larger population, so the insights you gather can be trusted to guide decisions. Whether you’re running customer research, testing a new product, or conducting social studies, survey sampling helps you capture meaningful data without overwhelming your budget, time, or resources.
Why Survey Sampling Matters In Research, Business, And Decision-making
Survey sampling isn’t just a technical step in research; it’s the foundation of trustworthy insights. Without it, you either drown in too much data or risk making decisions based on a small, biased group. Here’s why it matters:
Good sampling determines whether a study is credible or questionable. Researchers rely on representative samples to test hypotheses, identify patterns, and draw conclusions that can be applied to larger populations. For example, public health studies use carefully selected samples to estimate vaccination rates or track emerging health risks without needing to ask every citizen.
Companies don’t have the luxury of surveying every single customer. Instead, they sample strategically to understand buying behavior, product satisfaction, or brand loyalty. A representative sample can reveal what customers truly want, helping businesses adjust products, refine services, or launch successful campaigns, all while saving time and resources.
From governments to startups, decisions are only as good as the data behind them. Survey sampling provides leaders with reliable insights they can act on with confidence. Whether it’s predicting election outcomes, improving employee engagement, or assessing customer churn, the right sample offers a snapshot that’s accurate enough to guide million-dollar (or even billion-dollar) decisions.
Read: Sampling Design Explained: Steps, Challenges, and AI Solutions
Difference Between Sampling Vs. Census
When researchers want to study a population, they typically have two options: take a census or select a sample.
Both approaches aim to provide insights about the whole population, but they differ in scope, cost, and practicality.
Census
A census is a study of every single unit in the population. It’s called complete enumeration because it attempts to collect information from everyone or everything in the group. For example, the national census counts every household to get a full picture of the population.
Sample
A sample is a smaller subset of the population, chosen to represent the whole. This is known as partial enumeration. Instead of asking everyone, researchers gather data from a select group and use it to estimate characteristics of the larger population. For instance, surveying 1,000 citizens to understand national voting preferences.

Key Concepts in Survey Sampling
Before you dive into methods, it's helpful to know a few basics. These ideas are the building blocks of any good survey, and once you get them, everything else makes a lot more sense.
Population vs. Sample
Think of the population as the whole group you care about, say, every college student in Canada. A sample is just a slice of that group, the smaller bunch you actually survey. If your sample is well-chosen, it provides a fairly accurate representation of the whole.

Sampling Frame
This is simply the list from which you pull your sample. For example, if you’re surveying “all registered voters,” the voter registration database is your frame. If your list leaves people out (say, you only use your Instagram followers), your results will be skewed.

Sample Size
Sample size is simply the number of people included in your survey.
- Too small: results may be unreliable.
- Too large; unnecessary time and cost.
The “right” sample size depends on your population, margin of error, and confidence level.

Margin of Error & Confidence Level
These two go hand-in-hand and tell you how much trust to put in your survey numbers.
- Margin of Error is the wiggle room. If 60% of your sample says they like Product A with a ±3% margin, the real number is probably somewhere between 57% and 63%.
- Confidence Level is how sure you are about that wiggle room. At 95% confidence, it’s like saying: “If we ran this survey 100 times, 95 times we’d get results in that same range.”

Types of Survey Sampling Methods
Determining your sample, the group of people who will actually participate in your survey, is one of the most important steps in the process. Broadly, there are two main ways to do this: probability sampling and non-probability sampling. Each comes with its own methods, strengths, and trade-offs.
Probability Sampling Methods
In probability sampling, every individual in the population has a known, non-zero chance of being selected. This makes it one of the most reliable approaches because it helps ensure the sample truly represents the larger population. Common probability methods include:
Simple Random Sampling: The most straightforward method: each person has an equal chance of being picked. Example: Randomly selecting 200 students from a university enrollment list.
Systematic Sampling: Individuals are chosen at fixed intervals from a list. Example: Selecting every 5th visitor to a store for feedback.
Stratified Sampling: The population is divided into subgroups (like age, gender, or income level), and then people are randomly selected from each group. Example: Splitting a survey sample by age ranges to ensure all generations are represented.
Read: A Complete Guide to Stratified Random Sampling for Researchers
Cluster Sampling: Instead of picking individuals directly, you choose whole groups (clusters) at random, then survey everyone within those clusters. Example: Selecting a few schools from a district and surveying all the students inside them.
Multistage Sampling: A hybrid approach that combines different methods. Example: First choosing clusters (schools), then randomly selecting students within each school.

Non-Probability Sampling Methods
In non-probability sampling, not everyone in the population has an equal chance of being chosen. These methods are faster and cheaper but can introduce bias, so they’re often used for exploratory research or when reaching a specific group is the goal.
Convenience Sampling: Participants are chosen simply because they’re easy to reach. Example: Surveying people at your local coffee shop.
Quota Sampling: Similar to stratified sampling, but without randomness, you fill quotas for each subgroup.Example: Ensuring you have 50 men and 50 women in your survey, regardless of how you recruit them.
Judgment (Purposive) Sampling: The researcher hand-picks participants who meet certain criteria. Example: Interviewing only experienced teachers for a study on classroom methods.
Snowball Sampling: Existing respondents recruit others to join the study, creating a “chain reaction.”Example: A survey on rare medical conditions where patients connect you to other patients.
Voluntary Sampling: Participants choose to take part, often because they have a strong interest in the topic. Example: Online polls where people opt in to share their opinion.

How to Choose the Right Sampling Method
Choosing the right sampling method is a pivotal part of any research process, but it can feel like a stumbling block. Think of it as picking the best route to reach your destination fast, scenic, or economical; each has its place depending on your needs.
Here’s a structured way to make the decision:
Define your research goals
If you aim to capture broad, reliable insights from a large population, simple random or stratified sampling works best. For more focused insights into niche communities or specific groups, snowball or purposive sampling is often more effective.
Read: Purposive Sampling: Definition, Types, Examples, and Applications
Assess the nature of your population
A diverse population with many categories is well-suited for stratified sampling to ensure all groups are included. A geographically scattered population benefits from cluster sampling to save resources. A population organized in a sequence, such as employees on a roster, can be effectively studied with systematic sampling.
Consider your constraints
Time, budget, and accessibility matter. Convenience or quota sampling is practical for quick studies, though less precise. For groups that are hard to reach, snowball or purposive sampling can be more realistic.
Determine the reach of your findings
For findings that need to represent a broader population, probability methods offer greater accuracy and fairness. For specialized insights into targeted groups, non-probability methods are usually the right fit.
Test and get feedback
Start with a small pilot study. Share your approach with colleagues or mentors. This helps confirm whether your chosen method is practical or if it needs adjustment before scaling.
Common Sampling Errors
Even with the best research design, mistakes can creep into the sampling process. These errors don’t always mean the study is useless, but they can distort results and lead to misleading conclusions. Understanding the most common types of sampling errors can help you plan better and spot problems early.
Selection bias: This happens when the sample doesn’t truly reflect the population you want to study. For example, if you only survey people in big cities about healthcare, rural voices are left out. The findings may look valid, but they won’t apply to the whole population.
Nonresponse bias: When people who are selected don’t respond, their silence can skew results. If only highly motivated or opinionated participants reply, your sample ends up reflecting extremes rather than the full spectrum.
Sampling frame errors: If the list you use to draw your sample (the sampling frame) is incomplete or outdated, you’ll miss parts of the population. For example, using only landline numbers for a phone survey today ignores younger groups who rely on mobile phones.
Overgeneralization: Sometimes, results from a small or niche sample get stretched to apply to a much larger population. If you only studied 50 college students in one city, you can’t assume their views represent all young adults across the country.
Random sampling error: Even with a perfect method, there’s always a chance that the chosen sample differs from the population just by luck. This is why confidence intervals and margins of error are so important; they tell you how much wiggle room to expect.
Recommended Read: Sampling Error Explained: Definition, Types, and How to Reduce It
Key Formulas in Survey Sampling
Sample Size Formula
When you want to determine how many people you need to survey:

Where:
- nnn = required sample size
- ZZZ = Z-score (based on confidence level, e.g., 1.96 for 95%)
- ppp = estimated proportion of population with the trait (use 0.5 if unknown)
- eee = margin of error (e.g., 0.05 for ±5%)
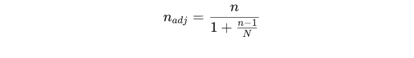
Finite Population Correction (FPC)
If your population is small (less than 20,000), adjust the sample size:

Where:
- nadjn_{adj}nadj = adjusted sample size
- NNN = total population size
- nnn = initial sample size
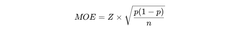
Margin of Error (MOE)
This shows how much the sample results might differ from the actual population values.

Confidence Interval (CI)

Where:
- p^\hat{p}p^ = sample proportion
- CICICI = range within which the true population parameter is expected to fall
Advantages of Survey Sampling
Cost-effective: Running a full census is expensive. With sampling, you only survey a smaller group and still get meaningful insights without breaking the budget.
Quick and convenient: Collecting data from a sample is much faster than surveying everyone. Online tools make it even easier for participants to respond and for researchers to analyze results.
Scalable to large populations: A well-designed sample allows you to study very large groups that would otherwise be impossible to reach. For example, you can understand the opinions of millions by surveying just a few thousand.
Accurate results with proper design: If your sample is representative, your results can be highly reliable. Smaller datasets also allow more time to check for errors and ensure quality.
Ability to collect detailed insights: Since you’re working with fewer people, you can ask deeper, more complex questions. This makes it easier to gather both broad statistics and rich, open-ended feedback.
Disadvantages Of Survey Sampling
Risk of errors: If the sampling method is poorly designed, results may not reflect the actual population. Bias, underrepresentation, or mis-targeting can all distort findings.
Hard to build a truly representative sample: Populations are often diverse and complex. Making sure every subgroup is included fairly requires careful planning and execution.
Requires technical knowledge: Survey sampling isn’t just about asking questions. It takes statistical expertise to choose methods, calculate margins of error, and interpret results correctly.
Challenging for niche or highly varied groups: If your population is very small, specialized, or diverse, it’s harder to find a sample that mirrors the bigger picture. In such cases, results may be less reliable.
Survey design issues can affect accuracy: Even with the right sample, poorly worded or overly long questionnaires can lead to biased or incomplete answers. Respondent fatigue and sensitive questions can also reduce quality.
Future Trends in Survey Sampling
AI-Driven Sampling: AI will increasingly be used to optimize who gets surveyed, reducing human bias. Tools like TheySaid already use AI to automate and refine feedback collection.
Big Data + Survey Fusion: Instead of relying only on surveys, researchers will combine sample surveys with big data from social media, sensors, and digital footprints.
Adaptive & Real-Time Sampling: Surveys will “learn as they go,” adjusting the sample in real time to balance underrepresented groups.
Mobile & Voice-Based Sampling: With the rise of smartphones and voice assistants, participants will be reached where they are, making samples more inclusive.
Privacy-First Sampling: Stricter privacy regulations mean anonymized, ethical sampling strategies will dominate, ensuring trust and compliance.
Global Micro-Sampling: Instead of one-size-fits-all surveys, researchers will run multiple smaller, localized samples, then stitch results together for a global view.
At the cutting edge of these trends is TheySaid, an AI-powered survey and interview platform designed to make feedback smarter, faster, and more human. By combining automation with real-time adaptability, TheySaid helps businesses and researchers capture insights that truly represent their audience, without the old limitations of traditional survey methods. Book a demo!
FAQs
Why do researchers use survey sampling instead of asking everyone?
Because talking to an entire population (a census) takes way too much time, money, and effort, sampling gives you reliable results faster, at a fraction of the cost.
How big should my sample size be?
It depends on how confident you want to be and how much error you can tolerate. For many surveys, a sample size of around 400 people is enough to represent thousands, but if your population is small or highly diverse, you may need adjustments.
Can survey samples really be accurate?
Yes, if done right. Randomization, clear survey design, and representative selection help samples reflect the real population. The key is reducing bias and avoiding common sampling errors.
How do I reduce bias in my survey sample?
Use random sampling where possible, diversify your sources, keep your survey accessible (online, mobile, etc.), and avoid tricky or leading questions.
When should I not use sampling?
If your population is very small or niche, it may be better to survey everyone (a census). For example, if your company has only 50 employees, it makes sense to ask all of them instead of sampling.




%20Surveys_%20Types%2C%20Benefits%20%26%20Success%20Strategies.webp)


